Suman Sekhar July 4, 2024 EHR

How AI can predict patient outcomes and improve treatment plans.

Maximizing EHR Potential with AI

AI thrives on data. EHRs hold a vast reservoir of patient data. When combined, they can predict a wide range of outcomes. How? Through predictive analytics. Predictive analytics uses past data and advanced algorithms to foresee future events. In healthcare, it analyses patient records to predict health risks and outcomes, helping doctors provide better, more personalized care. This powerful combination of AI and EHR is poised to revolutionize outpatient care by improving patient outcomes and optimizing treatment plans.

Predicting Patient Outcomes

AI algorithms use machine learning to process vast amounts of historical patient data and identify patterns for predicting future outcomes. For example, the below data points can be used from the patient chart:

  • Demographics: Age, gender, ethnicity, socioeconomic status.
  • Medical History: Past illnesses, surgeries, allergies, family medical history.
  • Lab Results: Blood tests, imaging reports, diagnostic outcomes.
  • Treatment Responses: Previous medication and therapy effectiveness.

Using these data points, AI can be used to help the healthcare providers with its predictive capabilities:

  • Disease Progression: Forecasting chronic condition developments like diabetes or heart disease.
  • Complications: Identifying risks of post-surgical infections or treatment-related complications.
  • Treatment Responses: Predicting patient responses to specific treatments, such as chemotherapy.

Ultimately, AI-driven predictions can help in early interventions and personalized care plans for patients improving patient outcomes and optimizing healthcare resources.

How would AI do this?

AI integrates clinical guidelines with patient-specific data by combining evidence-based medical protocols with individual health records. This integration involves machine learning models to analyse patient data identifying the best course of action based on both general as well as specific factors. The machine learning model in fact can perform predictive techniques like pattern recognition, logistic regression etc to predict the outcomes. All in all, these models can help improve:

  • Patient Adherence: Personalized plans consider individual preferences and conditions, making patients more likely to follow prescribed treatments.
  • Reduced Unnecessary Tests and Procedures: By targeting treatments more precisely, AI minimizes redundant or irrelevant tests and procedures, reducing healthcare costs and patient burden.

Let’s look at an example

Considering an imaginary scenario where AI is used to predict the risk of cardiovascular events based on patient data. Suppose a dataset contains information from 1000 patients over 5 years, including age, blood pressure, cholesterol levels, and whether they experienced a heart attack during this period.

  • Input Variables: Age (years), Systolic Blood Pressure (mmHg), Total Cholesterol (mg/dL)
  • Output Variable: Heart Attack (yes/no)

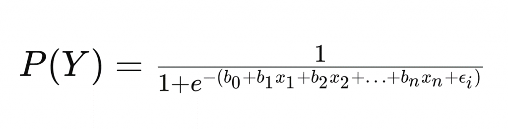
AI algorithms, such as logistic regression or a neural network, can learn from this data to create a predictive model. Below is a simple equation for logistics regression:

  • Where:
    • P(Y) represents the probability of patient getting a heart attack.
    • The coefficients b0, b1, …., bn and constant εi are learnt by AI using past data.
    • Patient’s specific values such as Age, Blood Pressure, Cholesterol etc. are represented by variables X1, X2, …. ,Xn.

By plugging in a patient’s data (e.g., Age = 60, Blood Pressure = 140 mmHg, Cholesterol = 200 mg/dL), the model computes the probability of that patient experiencing a heart attack. This probability is derived from patterns observed in historical data, enabling AI to predict outcomes based on similar cases in the dataset.

Conclusion

The integration of AI with Electronic Health Records (EHR) has the potential to transform patient care dramatically. By leveraging the power of predictive analytics, healthcare providers can anticipate patient needs more accurately and deliver highly personalized care. This synergy between AI and EHRs enables the prediction of disease progression, the identification of potential complications, and the optimization of treatment plans based on individual patient data. Such advancements not only enhance patient outcomes but also streamline healthcare processes, reducing unnecessary tests and procedures, and promoting patient adherence to treatment regimens. As we continue to refine and implement these technologies, the future of healthcare looks promising, with AI-driven insights paving the way for more effective, efficient, and patient-centric care.

Post your comment